- 热门资讯
- 头条关注
- 精选图片
一、单项选择题
1、在解决国际工程承包合同争议的时候,应该首选( )方式。
A.仲裁
B. DAB
C. DRB
D.协商
参考答案:D
答案解析:解决国际工程承包合同争议的主要方式有:协商,调解,仲裁,诉讼。协商是解决争议最常见也是最有效的方式,也是首选的最基本的方式。答案选D。DAB和DRB既不是调解也不是诉讼,是国际工程解决争议的特殊方式,因此BC不正确。参见教材P351。
参考233网校赵春晓模拟题试卷一,第62题。直接命中。
2、施工过程中,工程师下令暂停部分工程,而暂停的起因并非承包商违约或其他意外风险,承包商向业主提出索赔,则( )。
A.工期和费用索赔均能成立
B.工期和费用索赔均不能成立
C.工期索赔成立,费用索赔不能成立
D.工期索赔不能成立,费用索赔能成立
参考答案:A
答案解析:本题考核工程暂停、终止合同的索赔。工程师有权下令暂停全部或任何部分工程,只要这种暂停命令并非承包人违约和其他意外风险造成的。承包人不仅可以得到要求工期延长的权利,而且可以就其停工损失获得合理的额外费用补偿。
3、根据《建筑施工场界环境噪声排放标准》GB 12523-2001,打桩机械在昼间施工噪声排放限值是( )dB(A)。
A.55
B.60
C.65
D.70
参考答案:D
答案解析:本题是一个常规的记忆性题目,比较简单,主要考察噪声污染的防治。施工昼间排挡限值是70分贝,晚间是55分贝,因此答案为D。一定要看清题目中是问的昼间噪声排放,而不是夜间。知识点会,审题很重要。
参考233网校赵春晓模拟题试卷二,第51题。直接命中
4、根据《工程网络计划技术规程》JQJ/T121-2015,直接法绘制时标网络计划的第一步工作是(A)。
A.将起点节点定位在时标计划表的起始刻度线上
B.绘制标时网络计划
C.计算各工作的最早时间
D.确定各节点的位置号
参考答案:A
答案解析:本题是一个比较冷的题目。直接法绘制双代号时标网络计划图,直接在时标计划表上绘制时标网络计划。绘制步骤如下:1)将起点节,点定位在时标计划表的起始刻度线上; 2)按工作持续时间在时标计划表上绘制起点节点的外向箭线;3)其他工作的开始节点必须在其所有紧前工作都绘出以后,定位在这些紧前工作最早完成时间最大值的时间刻度上,某些工作的箭线长度不足以到达该节点时,用波形线补足,箭头画在波形线与节点连接处; 4)用上述方法从左至右依次确定其他节点位置,直至网络计划终点节点定位,绘图完成。参见教材P131。
5、预警信号一般采用国际通用的颜色表示不同的安全状况,Ⅲ级预警用()。
A.红色
B.橙色
C.黄色
D.蓝色
参考答案:C
答案解析:这个题目2017年、2016年连续两年考试都出现的题目。预警评价中预警信号分为四级,I级预警,表示安全状况特别严重,用红色表示。Ⅱ级预警,表示受到事故的严重威胁,用橙色表示。Ⅲ级预警,表示处于事故的上升阶段,用黄色表示。Ⅳ级预警,表示生产活动处于正常状态,用蓝色表示。参见教材P236。
参考233网校赵春晓模拟题试卷二,第64题。直接命中
6、某房屋建筑拆除工程施工中,发生倒塌事故,造成12人重伤、6人死亡,根据《企业职工伤亡事故分类标准》,该事故属于( )。
A.较大事故
B.特大伤亡事故
C.重大事故
D.重大伤亡事故
参考答案:A
答案解析:安全事故的分级是根据死亡人数、重伤人数、造成经济损失三个方面进行判定的。三者之间是“或”的关系,满足其中的任何一个就满足相应的级别条件,数字“就高不就低”。死亡人数三人以上10人以下是较大事故。重伤10人以上50人以下是较大事故。

答案选A。
参考233网校赵春晓模拟题试卷二,第46题。间接命中。
7、工程建设过程中,对施工场界范围内的污染防治属于()。
A.现场文明施工问题
B.环境保护问题
C.职业健康安全问题
D.安全生产问题
参考答案:C
答案解析:这个题目貌似简单,实际难度很大。工程建设过程中的污染包括两部分一是厂界内属于职业健康安全问题;一是厂界外的污染防治属于环境保护的问题。答案选C。
8、关于工程变更的说法,正确的是()。
A.合同实施中,承包人应就合同范围内的业主变更先提出补偿要求
B.工程变更的索赔有效期一般为7天,不超过14天
C.工程变更的补偿范围越大,承包人的风险越大
D.工程变更索赔期越短,对承包人越有利
参考答案:C
答案解析:工程变更如果属于合同范围内的,施工方要无条件执行,而不是先提出补偿要求,A选项错误。工程变更的索赔有效期一般是28天也有14天的,变更索赔期越短,对承包人越不利,B选项D选项错误。工程变更的补偿范围越大,承包人的风险越大。答案选C。参见教材P319。
9、编制安全技术措施计划包括以下工作,①工作活动分类;②风险评价;③危险源识别;④制定安全技术措施计划;⑤评价安全技术措施计划的充分性;⑥风险确定。正确的编制步骤是()。
A.①-②-③-④-⑤-⑥
B.③-①-②-⑥-④-⑤
C.①-③-⑥-②-⑤-④
D.①-③-⑥-②-④-⑤
参考答案:D
答案解析:这个题目也是比较偏的题目。考核的是安全生产管理制度中的“安全措施计划制度”的步骤。①工作活动分类;②危险源识别;③风险确定;④风险评价;⑤制定安全技术措施计划;⑥评价安全技术措施计划的充分性。但这个题目按照我们平时学习的知识也可以进行容易的判断。参见教材P230-231。
10、根据《中华人民共和国建筑法》,工程监理人员发现工程设计不符合建筑工质量标准或合同约定的质量要求的,应当报告( )要求设计单位改正。
A.总监理工程师
B.专业监理工程师
C.质量监督站
D.建设单
参考答案:D
答案解析:这个题目是考核监理的“两副嘴脸”的,对于施工单位不符合质量要求的,监理有权要求施工单位立即改正,而对于设计单位不符合质量要求的需要报告建设单位,通过建设单位要求设计单位改正。参见教材P76。
11、建设工程生产安全事故应急预案的管理包括应急预案的( )。
A.评审、备案、实施和奖惩
B.制订、评审、备案和实施
D.评审、备案、实施和落实
C.制订、备案、实施和奖惩
参考答案:A
答案解析:应急预案的管理包括评审、备案、实施、奖惩。参见教材P252。
12、下列建设工程项目总进度目标论证的工作中,属于项目结构分析的是( )。
A.将项目进行逐层分解
B.了解和调查项目的总体部署
C.对每一个工作项进行编码
D.调查项目实施的主客观条件
参考答案:A
答案解析:这个题目比较灵活。以往的考试直接考察项目总进度目标论证的步骤,这次是将相应步骤的内容进行考核。项目结构分析是根据编制总进度纲要的需要,将整个项目进行逐层分解并确立相应的工作目录。参见教材P124-125。
参考233网校赵春晓模拟题试卷二,第25题。间接命中。
13、关于建设工程项目施工质量验收的说法,正确的是( )
A.分项工程、分部工程应由专业监理工程师组织验收
B.分部工程的质量验收在分项工程验收的基础上进行
C.分项工程是工程验收的最小单元
D.分部工程所含全部分项工程质量验收合格,即可认为该分部工程验收合格
参考答案:B
答案解析:2017年在质量验收的考点上考的比较容易。分项工程是由专业监理工程师组织验收的,分部工程师由总监理工程师组织验收的,A选项错误。检验批是工程验收的最小单元,是分项工程乃至整个建筑工程质量验收的基础。C选项错误。分部工程所包含的全部分项工程质量验收合格,仅仅是分部工程验收合格的一部分条件,还包括质量控制资料应完整,有关安全、节能、环境保护和主要使用功能的抽样检验结果应符合相应规定,观感质量要符合要求,D选项错误。参见教材P196-197。
参考233网校赵春晓模拟题试卷一,第20题。直接命中
14、物资采购管理程序中,完成编制采购计划后下一步应进行的工作是( )。
A.进行采购合同谈判,签订采购合同
B.选择材料设备的采购单位
C.进行市场调查,选择合格的产品供应单位并建立名录
D.明确釆购产品的基本要求、采购分工和有关责任
参考答案:C
答案解析:本题考核物资采购模式。采购管理应当遵循的程序是①明确采购产品或服务的基本要求、采购分工及有关责任;②进行采购策划,编制采购计划;③进行市场调查,选择合格的产品供应或服务单位,建立名录;④采用招标或协商等方式实施评审工作,确定供应单位;⑤签订采购合同等。参见教材P47。
参考233网校赵春晓模拟题试卷二,第7题。直接命中。
15、关于建设工程现场宿舍管理的说法,正确的是( )
A.每间宿舍居住人员不得超过16人
B.室内净高不得小于2.2m
C.通道宽度不得小于0.8m
D.不宜使用通铺
参考答案:A
答案解析:本题考察现场宿舍的管理。宿舍内应当保证必要的生活空间,室内净高部的小于2.4m,通道宽度不得小于0.9m,每间宿舍居住人员不得超过16人。宿舍严禁使用通铺。D选项错误在于用词不当。参见教材P265。
参考233网校赵春晓模拟题试卷二,第91题。直接命中。
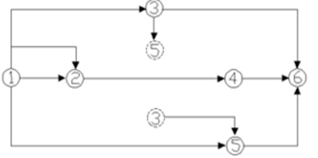
16、某工程双代号网络计划如下图,其计算工期是()天。

A.11
B.13
C.15
D.22
参考答案:D
答案解析:应用课堂上交给大家的办法,遇到求总工期的,先把每个线路找出来,把每个线路的长度计算出来,最长的就是计算工期。
17.关于施工成本分析依据的说法,正确的是( )。
A.统计核算可以用货币计算
B.业务核算主要是价值核算
C.统计核算的计量尺度比会计核算窄
D.会计核算可以对尚未发生的经济活动进核算
参考答案:A
答案解析:本题是考核三个核算的特点。会计核算主要是价值核算,B错误。统计核算的计量尺度要比会计核算统计核算宽,C错误。会计核算主要是对已经发生的经济活动进行核算,D错误。
18.编制实施性成本计划的主要依据是( )。
A.施工图预算
B.投资估算
C.施工预算
D.设计概算
参考答案:C
答案解析:本题主要考察成本计划类型,是一个常规高频考点。按照发挥的作用不同可以分为竞争性成本计划、指导性成本计划、实施性成本计划。的主要依据是施工方案,对应的是施工预算。参见教材P111。

19.下列工程质量事故中,可由事故发生单位组织事故调童组的是()
A.2人以下死亡,100万元~500万元的直接经济损失
B.5人以下重伤、100万元~500万元的直接经济损失
C.未造成人员伤亡,1000万~5000万元的直接经济损失
D.未造成人员伤亡,100万元~1000万元的直接经济损失
参考答案:D
答案解析:本题考查建设工程安全事故处理措施。工程质量事故没有造成人员伤亡的一般事故,经县级人民政府委托可以由事故发生单位组织事故调查。ABC三个选项都不是一般事故。参见教材P203。
20.项目质量控制体系得以运行的基础条件是( )
A.项目合同结构合理
B.组织制度健全
C.人员和资源合理配置
D.程序性文件规范
参考答案:C
答案解析:本题考查项目质量体系的运行,是一个较为偏的记忆性冷门题目。人员和资源的合理配置是质量控制体系得以运行的基础条件。P172。
21、某工作间逻辑关系如下图,则正确的是()。

A.A、B均完成后同时进行C、D
B.A、B均完成后进行D
C.A、B、C均完成后同时进行D、E
D.B、C完成后进行E
参考答案:B
答案解析:本题考查双代号网络计划中的各种工作的逻辑关系。A选项中,A、B工作均完成后进行D工作,C工作与AB工作没有先后逻辑关系。A选项错误。ABC工作均完成后,E工作才能开始,D选项错误。
22、根据《建设工程项目管理规范》GB/T50326-2006 条文风险等级划分的说明,下图中风险区A的风险等级为( )等风险。

A.1
B.3
C.5
D.7
参考答案:C
答案解析:本题考查风险管理中风险等级的概念。风险等级评估分为1—5级,直接将D选项排除。风险区A是高概率、大损失量的,“大大-5;大中中大-4;大小小大中中-3;小中中小-2;小小-1”。
23.某工程基础包含开挖基槽、浇筑混凝土垫层,砌筑砖基础三项工作,分三个施工段组织流水施工,每项工作均由一个专业班组施工,各工作在各施工段上的流水节拍分别是4天、1天和2天,混凝土热层和砖基础之间有1天的技术间歇。在保证各专业班组连续施工的情况下,完成该基础施工的工期是( )天。
A.8
B.12
C.18
D.22
参考答案:C
答案解析:采用大差法计算流水步距分别为10和1,所以工期=10+1+2+2+2+1=18天。
24.下列成本项目的分析中,属于材料费分析的是( )。
A.分析材料节约将对劳务分包合同的影响
B.分析材料储备天数对材料储备金的影响
C.分析施工机械燃料消耗量对施工成本的影响
D.分析材料检验试验费占企业管理费的比重
参考答案:B
答案解析:这个题目是2017年考试变化的标志性题目。一是题目属于非热点,二是题目高度综合。选项中,A选项是属于人工费的分析;C选项属于机械使用费的分析;D选项是属于管理费的分析。教材中没有原话可以直接套用。材料费分析包括主要材料、结构件和周转材料使用费的分析以及材料储备的分析。参见教材P117。
25.企业获准质量管理体系认证后,维持与监督管理活动中的自愿行为是()。
A.监督检查
B.企业通报
C.认证暂停
D.认证注销
参考答案:D
答案解析:本题是常规性题目,主要考核企业质量管理体系维持与监督管理的内容。企业通报、监督检查、认证注销、认证暂停、认证撤销、复评、重新换证等,其中只有认证注销是企业自愿行为。参见教材P177。
26.根据《建筑施工组织设计规范》GB/T50502-2009“合理安排施工顺序”属于施工组织设计中( )的内容。
A.施工部署和施工方案
B.施工进度计划
C.施工平面图
D.施工准备工作计划
参考答案:A
答案解析:本题是重复性较高的考点。主要考查施工组织设计的基本内容。合理安排施工顺序属于施工部署及施工方案。参见教材P52。
27.下列工程项目管理工作中,属于信息管理部门工作任务的是( )。
A.工程质量管理
B.工程安全管理
C.工程档案管理
D.工程进度管理
参考答案:C
答案解析:本题主要考查信息管理部门的工作任务。信息管理部门的工作任务包括①负责编制信息管理手册;②负责协调和组织项目管理班子中各个工作部门的信息处理工作;③负责信息处理工作平台的建立和运行维护④与其他工作部门协同组织收集信息、处理信息和形成各种反映项目进展和项目目标控制的报表和报告⑤负责工程档案管理等。这个题目采用排除法比较更容易选择。参见教材P355。
28某项目在进行资金成本分析时,其计算期实际工程款收入为220万元,计算期实际成本支出为119万元,计划工期成本为150万元,则该项目成本支出率为( )。
A.30.69%
B.54.09%
C.68.18%
D.79.33%
参考答案:B
答案解析:进行资金成本分析通常应用“成本支出率”指标,即成本支出占工程款收入的比例,计算公式如下:成本支出率=(计算期实际成本支出/计算期实际工程款收入)×100%
通过对“成本支出率”的分析,可以看出资金收入中用于成本支出的比重。119/220=0.540909.参见教材P119。
29.根据《建设工程项目管理规范》GB/50326-2006,项目管理规划大纲的编制工作包括:①收集项目的有关资料和信息;②明确项目目标;③确定项目管理组织模式;④明确项目管理内容;⑤编制项目目标计划:⑥报送审批⑦分析项目环境和条件
环境和条件。正确的编制程序是()。
A.①-②-⑦-④-③-⑤-⑥
B.①-②-⑦-⑤-①-④-⑥
C.②-⑦-①-③-④-⑤-⑥
D.②-①-⑦-④-⑤-③-⑥
参考答案:C
答案解析:本题主要考查项目管理规划大纲的编制工作程序。①明确项目目标; ②分析项目环境和条件③收集项目的有关资料和信息④确定项目管理组织模式、结构和职责⑤明确项目管理内容;⑥编制项目目标计划和资源计划;⑦汇总整理,报送审批。参见教材P51。
30.关于施工总承包模式特点的说法,正确的是( )。
A.招标和合同管理工作量大
B.业主组织与协调的工作量大
C.分包合同价对业主是透明的
D.开工前就有较明确的合同价
参考答案:D
答案解析:本题是高频考点,2017年考得比较容易。施工总承包模式的特点是建设单位与一家施工单位签订合同,招标和合同管理工作量小,A选项错误;业主组织与协调的工作量小,B选项错误;分包与施工总包签订合同,分包合同价对业主并不透明,C选项错误。参见教材P44。
31.编制设计任务书是项目( )阶段的工作。
A.设计准备
B.决策
C.设计
D.施工
参考答案:A
答案解析:本题考察建设工程项目的实施阶段组成。编制设计任务书是属于设计准备阶段。参见教材P4。
32.关于成本加酬金合同的说法,正确的是( )。
A.成本加固费用合同是指在工程直接中加一定比例的报酬费
B.最大成本加费用合同是指承包商报一个工程成本总价和一个固定的酬金
C.成本加奖金合同是指对直接成本实报实销,同时确定固定数目的报酬金额
D.成本加固定比例费用合同是指按成本估算的60%~75%作为酬金计算的基数
参考答案:B
答案解析:成本加固定费用合同是,人工、材料、机械台班等直接成本则实报实销,再考虑确定一笔固定数目的报酬金额作为管理费及利润,A选项错误;最大成本加费用合同是在工程成本总价合同基础上加固定酬金费用的方式,即当设计深度达到可以报总价的深度,投标人报一个工程成本总价和一个固定的酬金,B正确;成本加奖金是根据报价书中的成本估算指标制定的,在合同中对这个估算指标规定一个底点和顶点,分别为工程成本估算的60%~75%和110%~135%,承包商在估算指标的顶点以下完成工程则可得到奖金,超过顶点则要对超出部分支付罚款。如果成本在底点之下,则可加大酬金值或酬金百分比,C错误。参见教材P307。
33.施工单位内部的施工作业质量检包括( )。
A.自检、互检和旁站检查
B.自检、专检和平行检验
C.自检、专检、旁站检查和平行检验
D.自检、互检、专检和交接检查
参考答案:D
答案解析:施工作业的质量检查是贯穿整个施工过程的最基本的质量控制活动,包括施工单位内部的工序作业自检、互检、专检和交接检查,以及现场监理机构的旁站检查、平行检验。参见教材P190。
34.建设工程管理工作是一种增值服务工作,下列属于工程建设增值的是()
A.确保工程使用安全
B.提高工程质量
C.满足最终用户的使用功能
D.有利于工程维护
参考答案:B
答案解析:建设工程管理工作是一种增值工作,其核心任务是为工程的建设和使用增值。其中,确保工程建设安全、提高工程质量、有利于投资控制、有利于进度控制都属于建设增值。参见教材P3。
参考233网校赵春晓模拟题试卷二,第1题。直接命中。
35.施工单位编制项目管理任务分工表前,应完成的工作是()。
A.明确各项管理工作的流程
B.详细分解项目实施各阶段的工作
C.落实各工作部门的具体人员
D.检查各项管理工作的执行情况
参考答案:B
答案解析:在编制项目管理任务分工表前,应结合项目的特点,对项目实施各阶段的费用控制、进度控制、质量控制、合同管理、信息管理和组织与协调等管理任务进行详细分解。参考233网校赵春晓模拟题试卷二,第4题。直接命中。
36.绘制时间-成本累积曲线的环节有:①计算单位时间成本:②确定工程项目进度计划;③计算计划累计支出的成本额;④绘制S形曲线。正确的绘制步骤是()
A.①-②-③-④
B.②-①-③-④
C.①-③-②-④
D.②-③-④-①
参考答案:B
答案解析:时间-成本累计曲线的步骤:(1)确定工程项目进度计划编制进度计划的横道图;(2)根据每单位时间内完成的实务工程量或投入的人力、物力和财力,计算单位时间(月或旬)的成本,在时标网络图上按时间编制成本支出计划;(3)计算计划累计支出的成本额。(4)绘制S型曲线。参见教材P91-92。
37.下列策划內容中,属于建设工程项目实施阶段策划的是( )
A.编制项目实施合同期合同结构总体方案
B.确立项目实施期管理总体方案
C.确定关键技术分析和论证
D.进行项目目标的分析和再论证
参考答案:D
答案解析:(1)项目实施的环境和条件的调查与分析;(2)项目目标的分析和再认证;(3)项目实施的组织策划;(4)项目实施的管理策划;(5)项目实施的合同策划;(6)项目实施的经济策划;(7)项目实施的技术策划;(8)项目实施的风险策划等。选项A、B、C全属于决策阶段策划的工作内容。参见教材P39。
38.下列财产损失和人身伤害事件中,属于第三者责任险赔偿范围的是( )
A.项目承包商在施工工地的财产损失
B.项目承包商职工在施工工地的人身伤害
C.项目法人升聘员工在施工工地的人身伤害
D.项目法人、承包商以外的第三人因施工原因造成的财产损失
参考答案:D
答案解析:第三者责任险是指由于施工的原因导致项目法人和承包人以外的第三人受到财产损失或人身伤害的赔偿。第三者责任险的被保险人也应是项目法人和承包人。该险种一般附加在工程一切险中。应当注意,属于承包商或业主在工地的财产损失,或其公司和其他承包商在现场从事与工作有关的职工的伤亡不属于第三者责任险的赔偿范围,而属于工程一切险和人身意外伤害险的范围。参见教材P313。
39.关于建设工程项目施工成本控制的说法。正确的是( )。
A.施工成本管理体系由社会有关组织进行评审和认证
B.管理行为控制程序是进行成本过程控制的重点
C.施工成本控制可分为事先控制、过程控制和事后控制
D.管理行为控制程序和指标控制程序是相互独立的
参考答案:C
答案解析:管理行为控制程序是对成本全过程控制的基础;指标控制程序则是成本进行过程控制的重点,B选项错误;两者相互交叉相互制约用成本指标考核管理行为,D选项错误。施工成本管理体系属于企业内部的管理,不需要社会组织的评审和认证,A选项错误。参见教材P96。
参考233网校赵春晓模拟题试卷一,第19题。直接命中。
40、某工程项目的赢得值曲线如下图,关于项目偏差原因分析与纠偏措施的说法,
正确的是()

A.效率高,进度较慢,投入延后
B.效率较高进度较快,投入超前
C.抽出部分人员,放慢进度
D.增加人员投入,加快速度
参考答案:C
答案解析:这个题目考查赢得值法参数分析与对应措施。在任一一个时点上BCWP>ACWP>BCWS,也就意味着SV>0,CV>0,说明效率高,进度快,投入延后。A选项中进度较慢的说法错误;B选项中投入超前的说法错误;D选项中增加投入,加快速度的说法也错误。
参考233网校模拟题试卷一,多选9。
41在施工成本的过程控制中,需进行包干控制的材料是()
A.钢钉
B.水泥
C.钢筋
D.石子
参考答案:A
答案解析:本题考查材料费的控制,主要有定额控制、指标控制、计量控制、包干控制。对于部分小型及零星材料(如钢钉、钢丝等)根据工程量计算处所需材料量,将其折算成费用,由作业者包干使用。参见教材P100。
4、建设工程项目进度控制的措施中,“定义项目进度划系统的组成”属于()措施。
A.管理
B.经济
C.组织
D.技术
参考答案:C
答案解析:本题考查建设工程项目进度控制的措施。在组织措施中包括了应当编制项目进度控制的工作流程,包括定义项目进度计划系统的组成;各类进度计划的编制程序、审批程序和计划调整程序等,都属于组织措施。参见教材P154。
43.下列合同实施偏差处理措施中,属于合同措施的是()
A.变更技术方案
B.采取索赔手段
C.调整工作流程
D.增加经济投入
参考答案:B
答案解析:合同措施主要包括“合同”“索赔”等关键词的内容。A选项是技术措施,C选项是组织措施,D选型是经济措施。参见教材P323。
44.下列质量风险对策中,属“减轻”对策的是()
A.设立质量事故风险基金
B.正确进行项目规划选址
C.依法实行联合体承包
D.制定并落实施工质量保证措施
参考答案:D
答案解析:A是属于风险自留;B是属于风险规避;C属于风险转移。在质量管理过程中,通过抽样检查或检验试验所得到的关于质量问题、偏差、缺陷、不合格等方面的统计数据,以及造成质量问题的原因分析统计数据,均可采用排列图方法进行状况描述,它具有直观、主次分明的特点。参见教材P166。
45.质量管理中,运用排列图法可以()。
A.划分调查分析的关别和层次
B.描述质量问题的原因分析统计数据
C.确定质量问题的原因层次
D.掌握质量能力状态
参考答案:B
答案解析:排列图法的适用范围,主要通过抽样检查所得到的关于质量问题、不合格等方面的统计数据,以及造成质量问题的原因分析统计数据,都可以采用这种方法。
46.某住宅小区施工前,施工项目管理机构对项目分析后形成结果如下图,该图是()

A.组织结构图
B.项目结构图
C.工作流程图
D.合同结构图
参考答案:B
答案解析:主要考察组织工具“四图两表”上图中“直线+方框”,是项目结构图的特征。
47.根据《质量管理体系基础和术语》GB/T19000-2008/1S09000-2005,“凡工程产品没有满足某个与预期或规定用途有关的要求”称为()
A.质量问题
B.质量事故
C.质量不合格
D.质量缺陷
参考答案:D
答案解析:本题主要考察质量不合格、质量缺陷、质量问题、质量事故的相关概念。凡工程产品没有满足某个与预期或规定用途有关的要求就称之为质量不合格;而未满足某个与预期或规定用途有关的要求,称之为质量缺陷。质量不合格,影响使用功能或结构安全,造成永久质量缺陷或存在重大质量隐患,甚至直接导致倒塌或伤亡,必须进行返修、加固或报废处理,按照直接经济损失的大小分为质量问题和质量事故。
48、关于住宅工程分户验收的说法,正确的是()
A、分户验收应在住宅工程竣工验收合格后进行
B、《住宅工程质量分户验收表》要作为《住宅质量保证书》的附件一同交给住户
C、《住宅工程质量分户验收表》需要建设单位和设计单位项目负责人分别签字
D、分户验收的内容不包括建筑节能工程质量的验收
参考答案:B
答案解析:本题考查的是竣工质量验收的标准。这个题目是针对教材变化内容的一个新题目,他是考的新教材变化的内容。选项A,正确的说法应该是在住宅工程各检验批、分项、分部工程验收合格的基础上在住宅工程竣工验收前,建设单位应当组织施工,监理等单位依据国家有关工程质量验收标准对每户住宅及相关公共部位的观感质量和使用功能进行检查验收。选项C,正确的说法应该是每户住宅和规定的公共部位验收完毕,应当填写住宅工程质量分户验收表建设单位和施工单位项目负责人监理单位项目总监理工程师要分别签字。选项D,正确的说法应该是住宅工程质量分户验收的主要内容包括建筑节能和采暖工程质量.参见教材第198页。
49、根据《建设工程质量管理条例》,对国家重大技术改造项目实施监督检查的部门是()
A、经济贸易主管部门
B、建设行政主管部门
C、发展计划部门
D、环境保护部门
参考答案:A
答案解析:该题目的是监督管理部门职责的划分。国务院经济贸易主管部门按照国务院规定的职责,对国家重大技术改造项目实施监督检查。参见教材第211页。
50、根据《中华人民共和国建筑法》和《建设工程质量管理条例》,设计单位的质量责任和义务是()
A、按设计要求检验商品混凝土质量
B、将施工图设计文件上报有关部门审查
C、向施工单位提供设计原始资料
D、参与建设工程质量事故分析
参考答案:D
答案解析:这个题目主要考察的是项目质量控制的责任和义务,设计单位应当参与建设工程质量事故分析,并对因设计造成的质量事故提出相应的技术处理方案选项A属于施工单位的质量责任和义务。选项B和选项C属于建设单位的质量责任与义务。参见教材第157页到160页。
51、为确保安全,对设备的运转和零件的状况定时进行检查,发现损伤立即更换,绝不能“带病”作业,此项工作属于()
A、全面安全检查
B、要害部门重点安全检查
C、经常性安全检查
D、专项安全检查
参考答案:B
答案解析:这个题目主要考察的是安全生产,检查。安全生产检查监督的主要类型,要害部门重点安全检查,为了确保安全。对设备的运转和零件的状况,要定时检查。发现损伤,立刻更换绝不能带病作业。一过有效年限即使是没有故障,也应该给予更新,不能因小失大。参见教材第242页。
52、某工程项目总价值1000 万元,合同工期为18 个月,现因建设条件发生变化需增加额外工程费用500 万元,则承包方可提出的工期索赔为()个月。
A、6
B、9
C、24
D、27
参考答案:B
答案解析:这个题目比较简单,主要是考索赔的计算,比例法。
参考233网校赵春晓模拟题试卷二,单选60,直接命中。
53、根据《建设工程监理合同(示范文本)》GF-2012-0202,关于监理人职责的说法,正确的是()
A、委托人与承包人之间发生合同争议时,监理人应代表委托人进行处理
B、在任何情况下,监理人的指令都必须经委托人批准后方可发出
C、委托人与承包人合同争议提交仲裁机构时,监理人应提供必要的证明资料
D、监理人发现承包人的人员不能胜任本职工作时,无权要求承包人予以替换
参考答案:C
答案解析:本题目考察的是监理人的职责。选项A当委托人与承包人之间发生合同争议时监理人应协助委托人承包人协商解决;选项B,在紧急情况下,为了保护财产和人身安全。监理人所发出的指令可以不经过委托人批准,未能事先报委托人批准的。应在发出指令后的24小时内以书面形式报委托人。选项D,监理发现承包人的人员不能胜任本职工作的,有权要求承包人予以更换。参见教材第302页到第303页
54、关于单价合同中承包商风险的说法,正确的是()
A、单价合同中承包商存在工程量方面的风险
B、固定单价合同条件下,承包商存在通货膨胀带来的单价上涨的风险
C、单价合同中承包商存在投标总价过低方面的风险
D、变动单价合同下,承包商存在通货膨胀带来的单价上涨的风险
参考答案:B
答案解析:本题考查的是单价合同的运用。选项A,单价合同,允许随工程量变化而调整工程总价,业主和承包商都不存在工程量方面风险。选项C单价合同中承发包双方根据投标单价和最终工程量确定总价,不存在投标总价方面风险。选项D,当采用变动单价合同时可以约定当通货膨胀达到一定水平或者国家政策发生变化的时候可以对哪些工程内容的单价进行调整以及如何调整等饮次承包商的风险就相对较小。参见教材第303页。
55、施工单位在工程开工前编制的测量控制方案,需经()批准后方可实施。
A、项目技术负责人
B、项目经理
C、总监理工程师
D、项目质量工程师
答案:A
参考答案:A
答案解析:本题考查的是现场施工准备工作的质量控制,施工单位在开工前应当编制测量控制方案经项目技术负责人批准后实施。参见教材第187页
56、某项目部按施工总进度计划、主体工程施工计划、钢筋工程施工计划,构建了承包项目的进度计划系统,则该进度计划系统是按不同()组成的计划系统。
A、计划功能
B、项目参与方
C、计划深度
D、计划周期
参考答案:C
答案解析:记忆性题目。本题考查的是建设工程项进度计划的类型。由不同深度的进度计划系统包括:总进度规划、项目子系统进度计划、项目子系统中单项工程的进度计划。参见教材第122页。
本题考查的是建设工程项目进度计划系统的内涵。有不同深度的进度计划系统。构成计划系统包括。总进度规划,计划。项目子进度,系统进度规划。项目子系统中的单项工程进度计划。等等参见教材第122页
57.某双代号时标网络计划如下图,工作G 的最迟开始时间是第()天。

A、4
B、5
C、6
D、7
答案:B
参考答案:
答案解析:这个题目主要考察的双代号时标网络计划,实质上是在考察总时差的计算。从这个图上我们可以判断系工作开始的最早开始时间是第4天。总时差是1天,最迟-最早=总时差,最迟=最早+总时差。参见教材第130页。
58、对于依法批准开工报告的建设工程,建设单位应当自开工报告批准之日起()日内将保证安全施工的措施报送工程所在地相关部门备案。
A、7
B、14
C、15
D、30
参考答案:C
答案解析:这个题目考察的是职业健康安全与环境管理的特点和要求,对于依法批准开工报告的建设工程,建设单位应当自开工报告批准之日起15日内,将保证安全施工的措施报送至建设工程所在地的县级以上人民政府建设行政主管部门或者其他有关部门备案。参见教材第220页。
59、关于施工承包合同中缺陷责任与保修的说法,正确的是()
A、缺陷责任期自实际竣工日期起计算,最长不超过12 个月
B、缺陷责任期满,承包人仍应按合同约定的各部位保修年限承担保修义务
C、因发包人原因导致工程无法按合同约定期限进行竣工验收的,缺陷责任期自竣工验
收合格之日开始计算
D、发包人未经竣工验收擅自使用工程的,缺陷责任期自承包人提交竣工验收申请报告
之日开始计算
参考答案:B
答案解析:这个题目主要考察的是施工程包合同中的内容选项a错误。缺陷责任期,应当自实际竣工日期算。合同当事人应当在专用合同条款约定。缺陷责任期的具体期限,但该期限最长不得超过24个月选项A错误。因发包人原因导致工程无法按照合同约定期限进行竣工验收的,缺陷责任期自承包人提交竣工验收申请报告之日起开始计算,选项C错误。选项D错误,未经竣工验收擅自使用工程的缺陷责任期自工程转移占有之日起开始计算。参见教材第285页
60、美国建造师学会(AIA)合同文件中,A 系列的合同类型主要是用于()
A、业主与建筑师之间
B、建筑师与咨询机构之间
C、业主与承包人之间
D、国际工程项目
参考答案:C
答案解析:本题考查的是国际常用的施工程包合同条件。根据文件的不同性质AIA文件可以分为ABCDFGINT系列。其中:A系列,是关于业主与承包人之间的合同。B系列,是关于业主与建筑师之间的合同文件。C系列,是关于建筑师与提供。专业服务的咨询机构之间的合同文件。D系列,是建筑师行业所用的有关文件。F系列,是财务报表财务管理报表G系列,是合同和办公管理中使用的文件和表格。INT系列适用于国际工程项目的合同文件为B系列的一部分。参见教材p350页。
61、根据《建设工程施工劳务分包合同(示范文本)》GF-2003-0214,合同中对固定劳动报酬可以约定调整的情况是()。
A、市场人工价格低于合同约定基准价格,按变化前后价格差予以调整
B、工程量超出设计图纸范围导致劳务价格变化的,按变化前后价格差予以调整
C、施工时超出原施工要求导致劳务价格变化的,按变化前后价格差予以调整
D、法律及政策变化导致劳务价格变化的,按变化前后价格差予以调整
答案:D
参考答案:
答案解析:本题考查的是施工劳务分包合同的内容。在合同中可以约定下列情况下。固定劳务报酬或单价可以调整。一是本合同约定的价格为基准,市场人工价格的变化幅度超过一定百分比时,按变化前后价格的差额予以调整。二是后续法律及政策变化,导致劳务价格变化的。按变化前后价格的差额予以调整。三是双方约定的其他情形。参见教材p296页
62、某单代号网络计划如下图,工作A、D 之间的时间间隔是()天。

A、0
B、1
C、2
D、3
答案:C
参考答案:
答案解析:本题考查的是单代号网络计划有关时间参数的计算。在单代号网络计划计算中,相邻两项工作之间的时间间隔等于紧后工作的最早开始时间和本工作的最早完成时间之差。工作A的最早完成时间为4。工作D的最早开始时间为6,工作D的最早开始时间为六6-4=2。因此工作A和D之间的时间间隔为2天。参见教材第142页。
63、关于工程合同风险分配的说法,正确的是()。
A、业主、承包商谁能更有效的降低风险损失,则应由谁承担相应的风险责任
B、承包商在工程合同风险分配中起主导作用
C、业主、承包商谁承担管理风险的成本最高,则应由谁来承担相应的风险责任
D、合同定义的风险没有发生,业主不用支付承包商投标中的不可预见风险费
答案:A
参考答案:A
答案解析:这个题目考察的是工程合同风险分配。选项A,属于工程风险分配的原则。也就是说谁最能有效的。预防控制风险,或者有效的降低风险损失或者能将风险转移给其他方面则由谁来承担相应的风险责任。
64、某工程项目截至8 月末的有关费用数据为:BCWP 为980 万元,BCWS 为820 万元,ACWP 为1050 万元,则其SV 为()万元。
A、-160
B、160
C、70
D、-70
参考答案:B
答案解析:SV=BCDP-BCWS=已完工作预算费用-计划工作预算费用=160.这个题目是送分题。
65、关于建设工程项目施工成本管理责任体系的说法,正确的是()。
A、项目经理部的成本管理体现效益中心的管理职能
B、项目经理部的成本管理贯穿于单位投标和实施、结算过程
C、项目经理部的成本管理除生产成本以外,还包括经营管理费用
D、成本管理责任体系包括公司层和项目经理部的成本管理
参考答案:D
答案解析:这个题目考察的主要是施工成本管理的任务。选项A和选项B都是说公司层面贯穿于项目投标、实施和结算的全过程。体现了效益为中心的管理职能。选项C公司层面的成本管理除了生产成本以外,还包括经营管理费用。参见教材第78页
66、应用动态控制原理进行建设工程项目投资控制时,相对于工程合同价,投资的计划
值是()。
A、工程预算
B、施工预算
C、工程进度款
D、工程决算
答案:A
参考答案:
答案解析:这个题目考察的是动态控制原理,在投资控制当中的应用。对于工程合同价工程概算和工程预算都可以作为投资的计划值。当然,这个题目相对来讲比较容易。因为相对于工程合同价谁在工程合同价的前面,谁就可以作为计划值,所以这个题正确的答案应该选A。参见教材第59页
67、关于施工企业劳动用工管理的说法,正确的是()。
A、作业人员变更后的14 个工作日内,在当地建筑业企业信息管理系统中变更
B、施工企业与劳动者者按相关规定可以订立口头劳动合同
C、劳动合同一式两份,双方当事人各持一份
D、施工企业不得允许未与企业签订劳动合同的劳动者从事施工活动
参考答案:D
答案解析:这个题目考察的是施工企业劳动用工和工资支付管理。选项A中人员发生变更的,应当在变更后的七个工作日内在建筑业企业信息管理系统当中做出相应的变更。选项B建筑施工企业与劳动者建立劳动合同,建立劳动关系,应当自用工之日起,按照《劳动合同法》规的规定签订书面的劳动合同。选项C劳动合同应当一式三份,双方当事人各持一份,劳动者所在的工地保留一份用于备查。参见教材第69页
参考233网校模拟题试卷二,单选11,直接命中。
68、关于投标文件的说法,正确的是()。
A、通常投标文件中需要提交投标担保
B、投标文件在对招标文件的实质性要求作出响应后,可另外提出新的要求
C、投标书只需要盖有投标企业公章或企业法定代表人名章
D、投标书可由项目所在地的企业项目经理部组织投标,不需要授权委托书
参考答案:A
答案解析:这个题目考察的是施工招标的内容。选项B,投标文件应当招标文件提出的实质性要求和条件作出响应。投标文件不完备或者是投标没有达到招标人的要求。在招标范围以外提出的新的要求,均应当被视为对招标文件的否定。不会被招标人所接受。选项C投标书需要按照要求签章、密封。投标书需要盖有投标企业公章以及企业法定代表人的。公章或签字。选项D,如果项目所在地与企业的距离较远,应当由当地项目经理部组织投标。需要提交企业法人对投标项目经理的授权委托书。参见教材第273页
69、建筑施工企业因暂时生产经营困难无法按劳动合同约定的日期支付工资的,应当向劳动者说明情况,并与工会或职工代表协商一致后,可以延期支付工资,但最长不超过()
天。
A、7
B、10
C、15
D、30
参考答案:D
答案解析:这个题目考察的是施工企业劳动用工和工资支付管理。建筑施工企业因暂时的生产经营困难没有办法按按照劳动合同约定的日期支付工资的应当向劳动者说明情况并经工会或者职工代表商协商一致后可以延期支付可以延期支付公司,但最长不得超过30日。参见教材第70页.
70、根据《工程网络计划技术规程》JQJ/T121-2015,网络图存在的绘图错误有()。

A.编号相同的工作
B.多个起点节点
C.相同的节点编号
D.无箭尾节点的箭线
参考答案:A
二、多选题
71、在项目实施阶段,项目总进度应包括()
A、项目建议书编制进度
B、设计工程进度
C、招标工作进度
D、项目投产运行工作进度
E、工程施工和设备安装进度
参考答案:BCE
答案解析:本题考查的是项目总进度目标论证的工作内容,实际上这个题目还是考项目的阶段划分。在项目的实施阶段,项目总进度包括:1.设计前准备阶段的工作进度;2.设计工作进度;3.招标工作进度;4.施工前准备工作进度。5.工程施工和设备安装进度;6.工程物资采购工作进度期项目动前的准备工作进度等等,参见教材第124页。
72.关于建筑材料采购合同中违约责任的说法,正确有的( )。
A.供货方提前发运或交付的货物,采购方要按实际发运或交付时间付款
B.供货方发生逾期交货,要按合同约定依据逾期交货部分货款总价计算违约金
C.供货方部分交货,应按合同约定违约金比例乘以不能交货部分贷款计算违约金
D.合同签订后采购方中途退货,应向供货方支付按退货贷款总额计算的违约金
E.合同签订后,采购方逾期付款,应按照合同约定支付逾期付款利息
参考答案:BCDE
答案解析:选项A,对于供货方提前发运或交付的货物,采购方仍可按合同规定的时间付款,并非必须。参见教材P290。2017年的题目考的非常细,对后面的复习带来了很大的难度。
73.在企业质量管理体系的运行中,开展内部质量审核活动的主要目的有( )。
A.检查质量体系运行的信息
B.评价质量管理程序的完整性
C.为质量改进提供证据
D.减少社会重复检验费用
E.向外部审核单位提供体系有效的证据
参考答案:ACE
答案解析:落实质量体系的内部审核程序,有组织有计划开展内部质量审核活动,其主要目的是:(1)评价管理程序的执行情况及适用性;(2)揭露过程中存在的问题,为质量改进提供依据;(3)检查质量体系运行的信息;(4)向外部审核单位提供体系有效的证据。参见教材P176。
74、工程质量验收时,设计单位项目负责人应参加验收的分部工程有()。
A、地基与基础
B、装饰装修
C、主体结构
D、环境保护
E、节能工程
参考答案:ACE
答案解析:本题考查的是施工过程中质量验收的内容,勘察单位,设计单位项目负责人和施工单位技术,质量部门负责人应当参加地基与基础分部工程验收,设计单位项目负责人和施工单位技术,质量部门负责人应当参加主体结构,节能分部工程的验收参见教材第196页。
75、关于履约担保的说法,正确的有()。
A、履约担保是为保证正确、合理使用发包人支付的预付款而提供的担保
B、履约担保有效期始于工程开工之日,终止日期可以约定在工程竣工交付之日
C、银行履约保函担保金额通常为合同金额的10%左右
D、保留金由发包人从工程进度款中扣除,总额一般限制在合同总价款的5%
E、履约担保书由商业银行开具,金额在保证金的担保金额之内
参考答案:BCD
答案解析:本题考查的是履约担保。选项A的内容是预付款担保的内容,正确的说法应为:履约担保是指招标人在招标文件当中规定的要求中标的投标人提交的保证履行合同义务和责任的担保。选项E,正确的说法应为:履约担保书由担保公司或者保险公司开具履约担保书,参见教材第315页。
76、与施工总承包模式相比,施工总承包管理模式的优点有()。
A、整个建设项目合同总额的确定较有依据
B、能为分包单位提供提供更好的管理和服务
C、对业主节约投资较为有利
D、施工现场的总体管理与协调较为有利
E、缩短建设周期,进度控制较为有利
答案:AE
参考答案:
答案解析:这个题目考察的是施工总承包管理与施工总承包两种模式之间的差别。施工总承包管理模式可以在很大程度上缩短建设周期。施工总承包管理模式与施工总承包模式相比在合同价方面有以下优点。第一,合同总价不是一次性确定。当某一部分施工图设计完成以后,再进行该部分施工招标,确定该部分合同价,因此整个建设项目的合同总额的确定有依据。第二,所有分包都通过招标获得有竞争力的。投标报价对于业主方节约投资有利。三在施工总承包管理模式下。分包与业主签订合同,分包合同价对业主是透明的。参见教材第45页.
77、施工成本计划的编制方式有()。
A、按施工进度编制施工成本计划
B、按施工成本组成编制施工成本计划
C、按施工质量编制施工成本计划
D、按施工合同编制施工成本计划
E、按施工项目组成编制施工成本计划
参考答案:ABE
答案解析:本题考查的是按施工程本组成编制施工程本计划的方法施工程本计划的编制方式有以下几种:第一案施工程本组成编制施工程本计划;第二按施工项目组成编制施工程本计划;第三,按照施工进度编制施工程本计划。参见教材第89页。
78、关于施工分包单位管理责任主体的说法,正确的有()。
A、分包单位的选择可由业主指定,也可在业主同意下由总承包单位自主选择
B、分包合同由业主签订的,分包单位的管理责任由业主承担
C、施工总承包单位不需承担分包单位施工的安全责任
D、对施工分包单位进行管理的第一责任主体是业主
E、分包合同由总承包单位签订的,分包单位的管理责任由总承包单位承担
参考答案:AE
答案解析:本题考查的是施工分包管理的责任。选项B中,正确的说法应当为一般情况下,无论是业主指定的分包单位,还是施工总承包或者施工总承包管理单位选定的分包单位,其对于分包单位都是经过认可、确认的,对于分包单位的管理责任也就有施工总承包或者施工总承包管理单位承担。选项C正确的说法,因为。有施工总包或者施工总包管理单位向业主承担分包单位负责施工的工程质量,工程进度,安全等责任。选项的。正确的说法应当为。对施工分包单位进行管理的第一责任主体,应当是施工总包单位或者施工总包管理单位。无论是“干儿子”还是“亲儿子”,总包方都要负责。参见教材第325页.
79、依据《中华人民共和国招标投标法实施条例》,招标人以不合理条件限制、排斥投
标人的行为有()。
A、就同一招标项目向投标人提供有差别的项目信息
B、就同一招标项目对投标人采取不同的资格审查标准
C、招标项目以获得鲁班奖工程业绩作为加分条件
D、招标项目指定特定的专利作为中标条件
E、依照招标项目的总体特点设定专门的技术条件
答案:ABCD
参考答案:ABCD
答案解析:本题考查的是资格预审。以下属于以不合理条件限制,排斥潜在投标人或者是投标人的的行为:1.就同一招标项目向潜在投标人或者投标人提供有差异,有差别的项目信息。2.设定的资格,技术,商务条件与招标项目的具体特点和实际需要不相适应或者与合同履行,没有关系的。3.依法必须进行招标项目以特定行政区域或者特定行业的业绩,奖项作为加分条件或者中标条件。4.对于潜在投标人或者投标人采取不同的资格审查或者评标标准。5.限定或者指定特定的专利,商标,品牌,原产地或者供应商。6.依法必须进行的招标的项目非法限定潜在的投标人或者投标人的所有制形式或者组织形式。7.以其他不合理条件限制,排斥潜在投标人或者投标人。参见教材第269页。
80、根据《建设项目工程总承包合同示范文本(试行)》GF-2011-0216,承包人在技术
和设计方面的工作和义务有()。
A、提供建筑设计总体布局、功能分区方案
B、提供项目基础资料
C、提供现场障碍资料
D、组织设计阶段审查会议
E、对工程的安全、环境保护、职业健康标准负责
参考答案:AE
答案解析:本题考查的是项目总承包合同的内容选项B、选项C、选项D都是发包人的义务。参见教材第299页。
81、施工成本控制的主要依据包括()。
A、工程承包合同
B、施工成本计划
C、施工图预算
D、进度报告
E、工程变更
答案:ABDE
参考答案:ABDE
答案解析:本题考查的是施工程本控制的依据是工程本控制的主要依据包括工程承包合同施工程本计划进度报告工程变更。参见教材第95页。
82、某双代号网络计划如下图(图中粗实线为关键工作),若计划工期等于计算工期,则自由时差一定等于总时差且不为零的工作有()。

A、1-2
B、3-5
C、2-7
D、4-5
E、6-8
参考答案:ADE
答案解析:本题的实质是在考查万能公式。本工作的总时差=min{紧后工作的总时差+本工作的自由时差}。当计划工期等于计算工期的时候,只要完成节点是关键节点、且不在关键线路上的工作符合这个特点。
83、下列可能导致施工质量事故发生的原因中,属于管理原因的有()。
A、质量控制不严
B、操作人员技术素质差
C、地质勘察过于疏略
D、材料质量检验不严
E、违章作业
参考答案:ADE
答案解析:本题考查的是施工质量事故发生的原因。选项B属于组织原因。选项C属于技术原因.参见教材第201页。
84、下列建设工程项目进度控制的措施中,属于管理措施的有()。
A、采用工程网络计划实现进度控制科学化
B、明确进度控制管理职能分工
C、选择合理的工程物资采购模式
D、编制资源需求计划
E、重视信息技术在进度控制中的应用
参考答案:ACE
答案解析:本题考查的是项目进度控制的管理措施。选项B属于组织措施选项D属于经济措施。参见教材第154页。
85.下列施工成本管理的措施中,属于经济措施的有()。
A.对施工方案进行经济效果分析论证
B.通过生产要素的动态管理控制实际成本
C.抽检进场的工程材料、构配件质量
D.对各种变更及时落实业主签证并结算工程款
E.对施工成本管理目标进行风险分析并制定防范性对策
参考答案:DE
答案解析:施工成本管理的措施知识点的考查,选项A属于技术措施,选项B属于组织措施; 严格地讲,C选项不属于成本管理内容。DE属于经济措施。参加教材P83-84。
86、关于生产安全事故报告和调查处理原则的说法,正确的有()。
A、事故未整改到位不放过
B、事故未及时报告不放过
C、事故原因未查清不放过
D、事故责任人和周围群众未受到教育不放过
E、事故责任人未受到处理不放过
参考答案:CDE
答案解析:本题是考核四不放过的内容。这个题目是有争议的。参见教材P254页。

87、专项成本分析中,工期成本分析一般采取的方法有()。
A、构成比率法
B、成本盈亏异常分析
C、比较法
D、因素分析法
E、差额计算法
参考答案:CD
答案解析:本题主要考核专项成本分析的方法中工期成本分析。2017年考的非常细,这个题目难度非常大。
88、关于总价合同的说法,正确的有()。
A.当施工内容及有关条件未发生变化时,业主付给承包商的价款总额不变
B.采用总价合同的前提是施工图设计完成,施工任务和范围比较明确
C.总价合同中业主风险较大、承包人风险较小
D.总价合同中可约定在发生设计变更时对合同价格进行调整
E.总价合同在施工进度上能够调动承包人的积极性
参考答案:ABDE
答案解析:本题考查的是总价合同的运用选项C当中,正确的说法应当为业主的风险较小,承包人将承担较多的风险。参见教材第304页
89、建设工程项目施工准备阶段,建设监理工作的主要任务有()。
A、审查分包单位资质条件
B、检查施工单位的试验室
C、审查工程开工条件
D、签署单位工程质量评定表
E、审查施工单位提交的施工进度计划
答案:ABC
参考答案:ABC
答案解析:本题考查的是工程监理的工作任务在施工准备阶段建设监理工作的主要任务有。①审查施工单位提交的施工组织设计当中的质量安全技术措施、专项施工方案与工程建设强制性标准的符合性。②参与设计单位向施工单位的设计交底。③检查施工单位单位工程质量安全生产管理制度及组织机构和人员资格。④检查施工单位专职安全生产管理人员的配备情况。⑤审核分包单位资质条件。⑥检查施工单位的实验室。⑦查验施工单位的施工测量放线成果。⑧查工程开工条件签发开工令。
选项D属于验收阶段,选项E属于施工阶段。参见教材第74页。
90、根据《建设工程安全生产管理条例》,下列专项施工方案中,应当组织专家进行论
证的有()。
A、脚手架工程
B、深基坑工程
C、地下暗挖工程
D、爆破工程
E、高大模板工程
答案:BCE
参考答案:BCE
答案解析:本题考查的是特种作业人员持证上岗制度,工程当中涉及到深基坑、地下暗挖、高大模板的工程专项施工方案,施工单位应当组织专家进行论证,审查参见教材第231页。参考233网校赵春晓模拟题试卷一,多选24题,直接命中,原题。
91、据《建设工程项目管理规范》GB/T50326-2006,施工项目经理的职责有()。
A.进行授权范围内的利益分配
B.对资源进行动态管理
C.参与工程竣工验收
D.确保项目建设资金的落实到位
E.与建设单位签订承包合同
答案:ABC
参考答案:
答案解析:本题考查的是项目经理的职责。项目经理应当履行下列职责:1.项目管理目标责任书规定的职责。2.主持编制项目管理实施规划,并对象目标进行系统管理。3.对资源进行动态管理,4.是建立各种专业管理体系,并组织实施。5.进行授权范围内的利益分配6.收集工程资料,准备结算资料,参与工程竣工验收。7.接受审计,处理项目经理部解体后的善后工作吧8.协助组织进行项目的检查,鉴定和评奖报申报工作。参见教材第63页。
参考233网校赵春晓模拟题试卷一,多选5,直接命中。
92.某工程工作逻辑关系如下表,C 工作的紧后工作有()。

A.工作H
B.工作G
C.工作F
D.工作E
E.工作D
【答案】ACD
参考答案:ACD
答案解析:本题考查的是双代号网络计划的画法。在表格当中C作为EFH的紧前工作那么C工作的紧后工作就是EFH.参见教材第129页。
93、项目施工过程中,对施工组织设计进行修改或补充的情形有()。
A、设计单位应业主要求对楼梯部分进行局部修改
B、某桥梁工程由于新规范的实施而需要重新调整施工工艺
C、由于自然灾害导致施工资源的配置有重大变更
D、施工单位发现设计图纸存在重大错误需要修改工程设计
E、某钢结构工程施工期间,钢材价格上涨
参考答案:BCD
答案解析:本题考查的施工组织设计的动态管理项目施工过程当中发生以下情形之一的。施工组织设计应当及时进行修改或者补充。1.工程设计有重大修改。2.有关法律法规规范和标准实施,修订和废止。3.主要施工方法有重大调整。4.主要施工资源配置有重大调整。5.施工环境有重大改变。在选项A当中,局部修改,不需要进行施工组织设计的修改或者补充。选项E,钢材价格上涨,不需要进行施工组织设计的修改和补充。参见教材第56页.
94、根据《建设项目工程总承包管理规范》GB/T50358-2005,工程总承包项目管理的主要内容有()。
A、任命项目经理,组建项目部
B、编制和报批项目可行性研究报告
C、落实项目建设资金
D、进行项目策划,编制项目计划
E、实施项目运行管理
参考答案:AD
答案解析:与2016年的考题高度重合,本题考查的是项目总承包方项目管理的任务,工程总承包项目管理的主要内容包括。一任命项目经理,组建项目部,进行项目策划并编制项目计划。二设计管理采购管理、施工管理和试运行管理。三进行项目范围管理进度。管理费用管理设备材料管理资金管理、质量管理、安全职业健康和环境管理、人力资源管理、风险管理、沟通与信息管理、合同管理、现场管理、项目收尾等等。
实际上这个题目是有技巧的,主要是能区分业主与总承包之间的责任就可以了。参见教材第15页。
95、在建设工程项目施工过程中,施工机具使用费的索赔款项包括()。
A、因监理工程师指令错误导致机械停工的窝工费
B、因机械故障停工维修而导致的窝工费
C、非承包商责任导致功效降低增加的机械使用费
D、由于完成额外工作增加的机械使用费
E、因机械操作工患病停工而导致的机械窝工费
参考答案:ACD
答案解析:本题考查的是索赔费用的组成施工机具使用费的索赔。包括:由于完成额外工作增加的机械使用费。非承包人责任工效降低,增加了系机械使用费,由于业主和监理工程师原因导致机械停工的窝工费。选项B、E都是因为承包人自身的原因引起的,无法索赔。参见教材第341页。
96.关于建设工程现场文明施工管理措施的说法,正确的有( )。
A.项目安全负责人是施工现场文明施工的第一负责人
B.沿工地四周连续设置围挡,市区主要路段的围挡高度不低于1.8m
C.施工现场设置排水系统、泥浆、污水、废水有组织地排入下水道
D.施工现场必须实行封闭管理,严格执行外来人员进场登记制度
E.现场必须有消防平面布置图,临时设施按消防条例有关规定布置
参考答案:DE
答案解析:项目经理是现场文明施工的第一负责人,A错误;市区主要路段围挡高度不得低于2.5m,市郊不低于1.8m,B选项错误;选项C,严禁泥浆、污水、废水外流或未经允许排入河道。参见教材P258-259。
参考233网校赵春晓模拟题试卷一,多选66,直接命中选项。
97、根据《建设工程项目管理规范》GB/T50326-2006,项目风险管理计划应包括( )。
A、风险分类和风险排序要求
B、可使用的风险管理方法、工具
C、确定风险因素
D、分析各种风险损失量
E、收集风险信息
参考答案:AB
答案解析:项目风险管理计划包括:1、风险管理目标;2、风险管理范围;3、可使用的风险管理方法、工具以及数据来源;4、风险分类和风险排序要求;5、风险管理的职责和权限;6、风险跟踪的要求;7、相应的资源预算。
98、某工程网络计划中,工作N 的自由时差为5 天,计划执行过程中检查发现,工作
N 的工作时间延后了3 天,其他工作均正常,此时()
A、工作N 的总时差不变,自由时差减少3 天
B、总工期不会延长
C、工作N 的总时差减少3 天
D、工作N 的最早完成时间推迟3 天
E、工作N 将会影响紧后工作
参考答案:BCD
答案解析:本题考查的是双代号网络计划时间参数的计算。工作拖延3天,其自由时差为5天,所以并不影响总工期,所以B选项正确。
按照万能公式“本工作的总时差=min{后工作的总时差的最小值+本工作的自由时差}”。其他工作正常,自由时差减少了3天,所以总是差减少三天,因此选项C正确,选项A错误。因为N工作拖延了3天,因此最早完成时间拖延了3天,所以选项D正确。参见教材138页。
99、根据《建筑工程施工质量验收统一标准》GB50300-2013,分项工程的划分依据有
()。
A、工程部位
B、工种
C、材料
D、施工工艺
E、设备类别
参考答案:CDE
答案解析:本题考查的是工程质量检查验收的项目划分标准。这个题目是个记忆性的题目,也是常识。分项工程可以按照主要工种、材料、施工工艺、设备类别等等进行划分。A选项是属于分部工程划分的标准。参见教材第187页。
100、关于工程质量信息技术的说法,正确的有()。
A、管理信息系统可以实现项目各参与方的信息交流
B、项目信息门户不同于项目管理信息系统
C、项目管理信息系统主要用于企业人财物、产供销的管理
D、项目管理信息系统有利于项目各参与方的信息交流和协同工作
E、项目信息门户是项目各参与方共同使用、共同工作和互动的管理工具
参考答案:BE
答案解析:本题考查的是工程管理信息化。选项A,正确的说法是:项目管理信息系统有利于项目各参与方的信息交流。选项C,正确的说法是管理信息系统,主要用于企业人财物产供销的管理。选项D不正确,项目管理信息系统是服务于一个企业的一个项目,网络上答案不对。参见教材第361页。

手机版
| 新闻频道






